欢迎来到有课教育! 设为首页|加入收藏
报 考
辅导课程 |热点资讯 |报考公告
公考资讯 |考试政策 |其他考试
报 考
每月时政 |申论辅导 |常识辅导 |历年考试|报考专题
每日练习 |行测辅导 |面试辅导 |笔试专题|面试专题
其他
招考
事业单位 |教师招聘 |村官
地方招警 |三支一扶
报 考
题库
下载
各地: 推荐| 太原| 阳泉| 忻州| 大同| 长治| 朔州| 晋城| 临汾| 晋中| 吕梁| 运城| 全部
您的当前位置: 首页 > 行测辅导 > 数量关系
【数量关系】常用公式汇总
2018-12-24    来源:有课教育

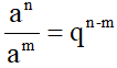
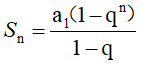
1.等比数列

        1. 通项公式:an=a1qn-1=amqn-m,(nmN+

        2. n项和公式:,(q1

2.古典型概率

古典型概率,又称等可能事件概率,等可能事件指的是一个事件的所有情况发生的概率相等,所以其概率的求解就是历数可能数,即:如果试验中可能出现的结果有n个,而事件A包含的结果有m个,那么事件A的概率为:P(A)=

3.多次独立重复试验

多次独立重复试验,又称伯努利试验(或称贝努里试验),指在同样的条件下重复地、各次之间相互独立地进行的一种试验。解题时,只要找到三个量:单次重复时某一事件成立的概率p、重复次数m,还有成立次数k(km),即可带公式求解:所求概率P=

4.流水行船问题

顺流速度=船速+水速

逆流速度=船速-水速

船速=(顺流速度+逆流速度)÷2

水速=(顺流速度-逆流速度)÷2

5.利润问题

售价=成本+利润;成本=售价-利润;利润=售价-成本;

利润率=利润/成本=

售价=成本×(1+利润率);成本=

折扣率=;打折率=1-折扣率;

6.行程问题

平均速度=

相遇时:总路程=速度和×相遇时间;

追及时:路程差=速度差×追及时间;

报考专题
笔试专题
面试专题
友情链接
Copyright © 2018-2024 山西有课教育咨询有限公司
All Rights Reserved 晋ICP备17006529号
地址:太原长风街君威财富中心8层      电话:15735654466
上岸神器APP技术支持