更多2019山西各地事业单位招聘公告,请关注有课教育|山西公考资讯网,下载APP:上岸神器,助你上岸更快一步!
根据《山西旅游职业学院2019年专职辅导员、专职思想政治理论课教师公开招聘方案》,经学院研究决定2019年公开招聘专职辅导员、专职思想政治理论课教师面试于2019年12月1日进行,现将具体事宜通知如下:
一、面试对象
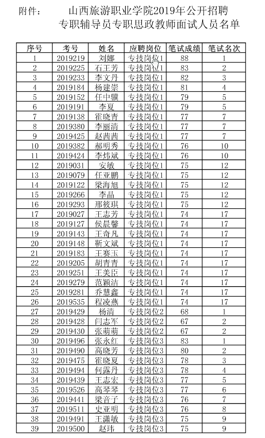
面试对象是根据考生笔试成绩,从高分到低分,按照与招聘岗位数3:1的比例拟定面试人选,在通过资格复审后,确定为面试对象(具体名单见附件)。
二、面试时间、地点
面试时间:2019年12月1日;
地点:山西旅游职业学院2号教学楼(旅游管理系)。
三、面试方式和内容
1、面试采取结构化面试或试讲的方式进行。
2、专业技术岗位1和专业技术岗位2面试采取结构化面试进行,时间为10分钟,主要考察应聘人员的综合分析能力、语言表达能力、组织协调能力、人际沟通能力、计划能力、决策能力、应变能力等方面。
3 、专业技术岗位3面试采取试讲的形式进行,要求考生组织20分钟相关专业知识理论教学,考生试讲时要求用多媒体PPT进行(自带U盘),面试当天,考生需提交教案一式7份。试讲不设固定题目,考生从学院指定的思政课教材《毛泽东思想和中国特色社会主义理论体系概论》(2018年版高等教育出版社)中自选章节,试讲时间20分钟。试讲结束后,考官可随机提问5-10分钟。
四、面试要求
1、考生面试须携带本人有效身份证和考生报名登记表,于2019年12月1日8:00前进入面试候考室,迟到30分钟后考生不得入场,视作自动放弃面试资格。
2、参加面试人员要服从工作人员管理,所携带的通讯工具等个人物品交由工作人员保管,面试结束后,凭身份证领取,在面试期间不得使用通讯工具,一经发现,取消面试资格。
3、考生着装大方得体,不得佩戴领花、胸针、头饰等饰物。
4、考生在试讲(含PPT和教案中)、答辩过程中,不得透露任何与个人姓名、专业、毕业学校等有关的信息,否则视为作弊。
5、考生面试前在候考室候考,按照抽签顺序依次进入考场进行面试,面试结束立即离开考场。
五、考生综合成绩计算方法
考生综合成绩=笔试成绩×60%+面试成绩×40%。综合成绩采取百分制,最低合格线为60分。面试没有形成竞争的岗位(即参加面试人数少于或等于招聘计划数的岗位),综合成绩最低合格分数线为65分。
六、考生注意事项
1、2019年12月1日8:30以前未进入候考室的考生,视为自动放弃面试资格。
2、考生综合成绩于面试结束后当天在我院网站和公告栏公布。
3、参加面试的考生请认真阅读本公告,有关事宜可在工作时间向学院人事处咨询,咨询电话:0351—7973535。
4、拟聘人员公示之后仍有人放弃的,学院将按综合成绩排名从参加面试人员中进行递补。
